AVA Multi-turn Electric Valve Actuator China Model
Loading 3D View...
Product Overview
The multi-turn electric actuator is specifically designed for valves requiring multi-turn operation, such as gate valves and globe valves, featuring excellent control performance and reliable operation guarantees. The product adopts a non-intrusive infrared setting method, allowing parameter configuration without opening the cover, which significantly simplifies on-site commissioning procedures. It also integrates a data recording function for easy tracing and analysis of operating status.
The actuator is built with comprehensive protection mechanisms, including multiple fault diagnoses such as over-torque and phase loss, ensuring safe operation of the equipment under harsh working conditions. The core control part is based on high-precision large-scale digital integrated chips, which guarantee the accuracy and stability of output torque and thrust control, and can meet various protection action requirements including power failure or signal loss.
This series of products is widely used in fields such as power plants, metallurgy, coking, petrochemicals, long-distance pipelines, mining, and environmental protection industries, providing highly reliable and intelligent valve control solutions for various harsh working conditions.
Key Features
Adopts large-scale digital integrated chips, featuring powerful functions and high precision grade.
Non-intrusive design: All parameters can be set via an infrared setting tool without removing the electrical case cover.
Historical data recording function: During the operation of the actuator, it can real-time record various parameters including torque, operating status, and alarm signals, which are stored in a timeline format.
Precision valve position measurement system with a measurement accuracy of 0.5%.
Accurate torque measurement system: Obtains precise torque values by measuring the reaction force of the motor worm thrust through pressure sensors.
High-definition OLED digital and identifier display window with easy-to-read content, allowing convenient observation of the actuator's valve position, torque, and function status. The unique backlight system ensures clear observation and setting even at night.
Equipped with a dynamic braking device. The transmission sequence of its worm and worm gear drive mechanism is irreversible, thus providing reliable braking function to prevent motor coasting.
The reducer adopts a worm and worm gear structure, with compact design, precise manufacturing and assembly, and a large transmission ratio. The motor shaft and worm are independent of each other for quick replacement.
The electric actuator is equipped with multiple protection functions, including motor overheating protection, overcurrent protection, phase loss protection, valve jamming protection, torque protection, torque measurement, emergency shutdown (ESD) protection, and automatic inspection function.
Fieldbus function: Provides seamless interface with any main control system and communication protocol.
Product Close-ups
Precision-engineered components, inspected to the last detail.

01 / 11
Local/remote control panel
Greatorkpartner Manufacturing Processes
A four-stage workflow covering Production, Assembly, Factory Testing, and Packaging and Transportation.






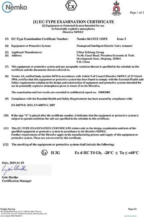
Actuator Certificates







Smart Configuration.Precision Selection
Define your performance requirements through our intelligent selection engine. Get instant, expert-validated configurations tailored to your specific application and operating environment.
Start Smart SelectionWe Engineer It.
Electro-Hydraulic Actuator
Output: 3kN – 700kN
IP66/IP68 | SIL2/SIL3
Temp: -60°C to +70°C

