
Engineering Precision for
Global Flow Control
A leading manufacturer of intelligent valve actuators since 1987.
Manufacturing base
Units / year
Engineers & staff
Countries served
State-of-the-Art
Production
Our 53,000m² manufacturing campus features fully integrated production lines equipped with advanced robotics, precision CNC machining centers, and real-time quality monitoring systems.
With an annual capacity exceeding 50,000 units, we handle both high-volume orders and custom-engineered solutions across electric, pneumatic, and hydraulic actuator types — spanning torque ranges from 5 Nm to 6,000 Nm.


SIL3 & IP68
Certified Quality
Every actuator undergoes rigorous testing to meet international safety standards. Our SIL3-certified products pass systematic functional safety validation, while our IP68 submersible designs endure extreme environmental chambers simulating subsea conditions, corrosive atmospheres, and temperatures from -40°C to +85°C.
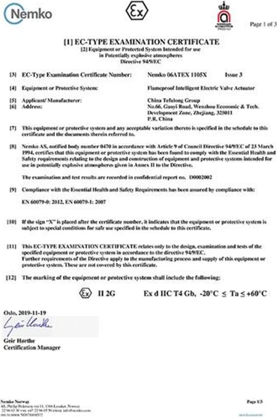
Additional testing includes 100,000+ operation endurance cycling, vibration resistance, EMC compliance, and explosion-proof certification (ATEX / IECEx) for hazardous-zone applications.
Global Impact & Trusted Projects
Deployed across 6 continents in the world's most demanding environments
International Standards
Validated by leading global certification authorities







Ready to discuss your project requirements?
Our engineering team is available to provide technical consultation and custom solutions.
